Expected Number Of Rolls Needed .    — in order to find the number of dice rolls needed, i want the probability of there being a $6$ in $n$ rolls being $1/2$. Sum of two dice, sum of multiple dice,.    — the dice probability calculator is a great tool if you want to estimate the dice roll probability over numerous. You need one roll to see the first face.  therefore, the expected number of rolls is $42$ with a standard deviation of $\sqrt{1650}\approx40.62$.  use this dice odds calculator to easily calculate any type of dice roll probability: We find that as we.    — it's not hard to write down the expected number of rolls for a single die.  what is the expected number of times we roll the die?    — what is the expected number of rolls needed to see all six sides of a fair die?
        
         
         
        from www.reddit.com 
     
        
           — in order to find the number of dice rolls needed, i want the probability of there being a $6$ in $n$ rolls being $1/2$.    — it's not hard to write down the expected number of rolls for a single die. We find that as we.    — the dice probability calculator is a great tool if you want to estimate the dice roll probability over numerous.    — what is the expected number of rolls needed to see all six sides of a fair die?  therefore, the expected number of rolls is $42$ with a standard deviation of $\sqrt{1650}\approx40.62$. Sum of two dice, sum of multiple dice,.  use this dice odds calculator to easily calculate any type of dice roll probability:  what is the expected number of times we roll the die? You need one roll to see the first face.
    
    	
            
	
		 
	 
         
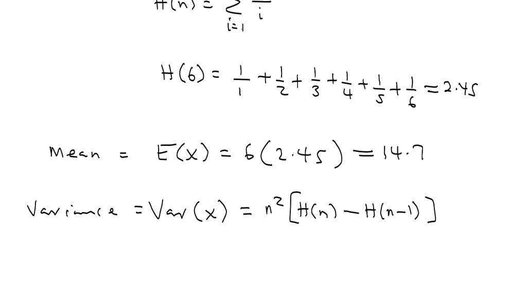
    Mean number of rolls needed to find units for some common situations 
    Expected Number Of Rolls Needed     — what is the expected number of rolls needed to see all six sides of a fair die? We find that as we.  use this dice odds calculator to easily calculate any type of dice roll probability:  what is the expected number of times we roll the die?    — what is the expected number of rolls needed to see all six sides of a fair die? You need one roll to see the first face.    — the dice probability calculator is a great tool if you want to estimate the dice roll probability over numerous.    — it's not hard to write down the expected number of rolls for a single die. Sum of two dice, sum of multiple dice,.    — in order to find the number of dice rolls needed, i want the probability of there being a $6$ in $n$ rolls being $1/2$.  therefore, the expected number of rolls is $42$ with a standard deviation of $\sqrt{1650}\approx40.62$.
            
	
		 
	 
         
 
    
         
        From www.gauthmath.com 
                    Solved The table shows the of rolling two number cubes at the Expected Number Of Rolls Needed     — in order to find the number of dice rolls needed, i want the probability of there being a $6$ in $n$ rolls being $1/2$. You need one roll to see the first face. Sum of two dice, sum of multiple dice,.    — what is the expected number of rolls needed to see all six sides of a. Expected Number Of Rolls Needed.
     
    
         
        From www.chegg.com 
                    Richardson Ski Racing (RSR) sells equipment needed Expected Number Of Rolls Needed     — the dice probability calculator is a great tool if you want to estimate the dice roll probability over numerous.    — it's not hard to write down the expected number of rolls for a single die.  therefore, the expected number of rolls is $42$ with a standard deviation of $\sqrt{1650}\approx40.62$.  use this dice odds calculator to. Expected Number Of Rolls Needed.
     
    
         
        From exofbajma.blob.core.windows.net 
                    The Expected Number Of Rolls Until All Six Faces Appear at Benjamin Expected Number Of Rolls Needed     — what is the expected number of rolls needed to see all six sides of a fair die?  therefore, the expected number of rolls is $42$ with a standard deviation of $\sqrt{1650}\approx40.62$. Sum of two dice, sum of multiple dice,. We find that as we.    — it's not hard to write down the expected number of rolls. Expected Number Of Rolls Needed.
     
    
         
        From www.researchgate.net 
                    (PDF) Expected Number of Dice Rolls Until an Increasing Run of Three Expected Number Of Rolls Needed  We find that as we.    — in order to find the number of dice rolls needed, i want the probability of there being a $6$ in $n$ rolls being $1/2$.  what is the expected number of times we roll the die? Sum of two dice, sum of multiple dice,.    — the dice probability calculator is a great. Expected Number Of Rolls Needed.
     
    
         
        From www.reddit.com 
                    Mean number of rolls needed to find units for some common situations Expected Number Of Rolls Needed     — the dice probability calculator is a great tool if you want to estimate the dice roll probability over numerous.  use this dice odds calculator to easily calculate any type of dice roll probability:  therefore, the expected number of rolls is $42$ with a standard deviation of $\sqrt{1650}\approx40.62$.    — what is the expected number of rolls. Expected Number Of Rolls Needed.
     
    
         
        From www.youtube.com 
                    Find the expected number of rolls of the dice YouTube Expected Number Of Rolls Needed   what is the expected number of times we roll the die?    — what is the expected number of rolls needed to see all six sides of a fair die?    — in order to find the number of dice rolls needed, i want the probability of there being a $6$ in $n$ rolls being $1/2$. You need one. Expected Number Of Rolls Needed.
     
    
         
        From exofbajma.blob.core.windows.net 
                    The Expected Number Of Rolls Until All Six Faces Appear at Benjamin Expected Number Of Rolls Needed  Sum of two dice, sum of multiple dice,.  what is the expected number of times we roll the die? We find that as we.  therefore, the expected number of rolls is $42$ with a standard deviation of $\sqrt{1650}\approx40.62$.  use this dice odds calculator to easily calculate any type of dice roll probability:    — what is the. Expected Number Of Rolls Needed.
     
    
         
        From www.numerade.com 
                    SOLVED Shomee is rolling a die repeatedly. What is the probability Expected Number Of Rolls Needed  We find that as we.  therefore, the expected number of rolls is $42$ with a standard deviation of $\sqrt{1650}\approx40.62$.    — in order to find the number of dice rolls needed, i want the probability of there being a $6$ in $n$ rolls being $1/2$.  what is the expected number of times we roll the die?    —. Expected Number Of Rolls Needed.
     
    
         
        From www.researchgate.net 
                    Expected number of steps with message broadcasting that are needed to Expected Number Of Rolls Needed     — it's not hard to write down the expected number of rolls for a single die.  therefore, the expected number of rolls is $42$ with a standard deviation of $\sqrt{1650}\approx40.62$. We find that as we.  use this dice odds calculator to easily calculate any type of dice roll probability:    — what is the expected number of. Expected Number Of Rolls Needed.
     
    
         
        From www.chegg.com 
                    Solved The number of requests for assistance received by a Expected Number Of Rolls Needed  You need one roll to see the first face.    — what is the expected number of rolls needed to see all six sides of a fair die?  therefore, the expected number of rolls is $42$ with a standard deviation of $\sqrt{1650}\approx40.62$.    — in order to find the number of dice rolls needed, i want the probability of. Expected Number Of Rolls Needed.
     
    
         
        From www.chegg.com 
                    Solved In a random experiment, a fair die is rolled until a Expected Number Of Rolls Needed  You need one roll to see the first face. Sum of two dice, sum of multiple dice,.    — what is the expected number of rolls needed to see all six sides of a fair die?  use this dice odds calculator to easily calculate any type of dice roll probability:    — it's not hard to write down the. Expected Number Of Rolls Needed.
     
    
         
        From www.numerade.com 
                    SOLVED We roll a fair dice until there are three consecutive 2's. What Expected Number Of Rolls Needed     — it's not hard to write down the expected number of rolls for a single die. Sum of two dice, sum of multiple dice,.    — in order to find the number of dice rolls needed, i want the probability of there being a $6$ in $n$ rolls being $1/2$.    — what is the expected number of rolls. Expected Number Of Rolls Needed.
     
    
         
        From www.numerade.com 
                    SOLVED Exercise 8.38. Find the We roll a die repeatedly until we see Expected Number Of Rolls Needed  We find that as we.    — in order to find the number of dice rolls needed, i want the probability of there being a $6$ in $n$ rolls being $1/2$.  what is the expected number of times we roll the die?    — the dice probability calculator is a great tool if you want to estimate the dice. Expected Number Of Rolls Needed.
     
    
         
        From www.bartleby.com 
                    Answered The table shows the distribution of the… bartleby Expected Number Of Rolls Needed   therefore, the expected number of rolls is $42$ with a standard deviation of $\sqrt{1650}\approx40.62$.    — in order to find the number of dice rolls needed, i want the probability of there being a $6$ in $n$ rolls being $1/2$.  use this dice odds calculator to easily calculate any type of dice roll probability:  what is the. Expected Number Of Rolls Needed.
     
    
         
        From www.chegg.com 
                    Solved In another array called expected, store the expected Expected Number Of Rolls Needed     — it's not hard to write down the expected number of rolls for a single die.    — what is the expected number of rolls needed to see all six sides of a fair die? You need one roll to see the first face.    — in order to find the number of dice rolls needed, i want the. Expected Number Of Rolls Needed.
     
    
         
        From www.numerade.com 
                    SOLVED 42. Suppose that each coupon obtained is, independent of what Expected Number Of Rolls Needed     — it's not hard to write down the expected number of rolls for a single die.  use this dice odds calculator to easily calculate any type of dice roll probability:    — what is the expected number of rolls needed to see all six sides of a fair die?  therefore, the expected number of rolls is $42$. Expected Number Of Rolls Needed.
     
    
         
        From www.youtube.com 
                    What is the expected number of rolls needed to see all 6 sides of a Expected Number Of Rolls Needed   therefore, the expected number of rolls is $42$ with a standard deviation of $\sqrt{1650}\approx40.62$. Sum of two dice, sum of multiple dice,.    — the dice probability calculator is a great tool if you want to estimate the dice roll probability over numerous.    — it's not hard to write down the expected number of rolls for a single. Expected Number Of Rolls Needed.
     
    
         
        From www.chegg.com 
                    Zenith Investment Company is considering the purchase Expected Number Of Rolls Needed  Sum of two dice, sum of multiple dice,.    — it's not hard to write down the expected number of rolls for a single die.    — in order to find the number of dice rolls needed, i want the probability of there being a $6$ in $n$ rolls being $1/2$.  what is the expected number of times we. Expected Number Of Rolls Needed.